摘 要
多平台分析仪(multiplate analyser)是使用全血测量血小板功能的常见设备。由于此类设备具有作为床旁检测设备的潜力,所以止血实验室也使用此类设备。此类设备通常被用来评估抗血小板药物或检测血小板功能。根据制造商的说明,最好应该在采血后的半小时至三小时内使用制造商提供的水蛭素试管进行检验。我们发现在使用多平台分析仪和水蛭素采血试管时,血小板凝集会出现与时间相关的减少,绝大部分的制造商提供的激动剂都会出现这种情况。多平台分析使用的血液被采集到制造商提供的水蛭素试管中,在采样后建议的检测时段中的几个时间点使用制造商提供的激动剂(ADP、花生四烯酸、TRAP、胶原蛋白和瑞斯西丁素)评估了21份连续样品。血液采集到EDTA内作为血小板计数的参考方法,将样品采集到柠檬酸钠和水蛭素内作为计数的比较方法。随着时间的推移,所有的血小板激动剂都显示出减少反应。由于激动剂不同,在120分钟和180分钟时,会发生5%—20%和22%—47%的减少反应。减少之初,值尚在正常参考范围,但随着时间推移,值会逐步低于参考范围。所有激动剂,35%和67%的“正常”反应会在120分钟和180分钟时变为“异常”。血小板计数显示EDTA血液的变化最小,但是柠檬酸钠和水蛭素血液随着时间推移会发生巨大变化,在240分钟时出现40%和60%的减少。随着时间的推移我们还观测到了血小板凝块(微团聚体结构)的出现,这种情况在含水蛭素血液中尤为严重。总之,对所有的血小板激动剂而言,在建议的半小时至三小时的采血后检测窗口期内,大约三分之二的样品会发生血小板凝集减少现象进而导致解析发生变化(即从正常范围逐步减少,甚至减少到异常范围)。因此,在将血样采集到水蛭素试管内的半小时至两小时内进行多平台检测的稳定性更好。
简 介
多平台分析仪是使用全血测量血小板功能的常见设备。由于此类设备具有作为床旁检测设备的潜力,所以止血实验室也使用此类设备。此类设备通常被用来评估抗血小板药物(阿司匹林或氯吡格雷)或检测血小板功能以及血管性血友病(VWD)。根据制造商的说明,最好应该在采血后的半小时至三小时内使用制造商提供的水蛭素试管进行检验。制造商还提供了检测采集到水蛭素试管内的血液的血小板激动剂的范围以及使用这些激动剂的期望正常参考范围,评估必须按照制造商的建议进行。
进行此次研究的原因是本文作者发现在多平台评估检测正常参考区间时,一些血样被采集到水蛭素试管内的正常个体的血小板计数水平相对较低(与标准EDTA[乙二胺四乙酸]血液采样相比)。后续研究发现这种血小板水平相对较低的现象具有时变性,并可能影响多平台分析仪的反应。
方 法
我们的两个研究机构中,一个机构从正常个体体内连续采集血液样品,另一个机构从需要接受血小板功能紊乱/VWD分析的患者体内连续采集样品,共21份,方法如下:(1)EDTA血液(典型的BD真空采血管,#367838)作为血小板计数的参考方法;(2)缓冲的柠檬酸钠(0.109M;典型的BD真空采血管,#363095);(3)多平台分析建议的水蛭素试管(罗氏,#06675751)。柠檬酸和水蛭素样品用于血小板计数对比,水蛭素样品用于多平台分析的血小板功能检测。使用标准的血液容器执行血小板计数,每种样品类型在采血后的特定时间点执行分析(30分钟、60分钟、120分钟、180分钟和240分钟)。采血后30分钟执行的血小板计数用作所有采血试管的参考血小板计数,EDTA样品是最佳的参考方法。记录所有血小板发生凝块的信号,间或通过薄膜扩散进行确认。
我们的两个研究机构都执行了多平台检验,但是重要的是我们使用了制造商建议的程序,包括血小板激动剂、浓缩和所有检测体积;尤其是二磷酸腺苷(ADP)、花生四烯酸(ASPI)、胶原蛋白(Col)、瑞斯西丁素(高浓度;RisH)以及凝血酶受体活化肽(TRAP)(表1)。检测的典型时间点为采血后30分钟、120分钟、180分钟,其中,180分钟代表制造商建议的最大窗口时间,60分钟是此次研究每种样品的参考检测结果。此次研究按照质量保证计划执行,由当地伦理委员会批准。
统计分析很大程度上限制于描述性统计。但是,我们使用双尾威氏符号秩次检验评估血小板计数随着时间的变化,在检测结果的常态分布方面没有进行任何假设。P值<0.05视为统计显著性。“临床意义”指定为在采血后60分钟位于制造商建议的正常参考范围(NRR)内,但在后续检测中下降到建议的NRR以下的检测结果。
结 果
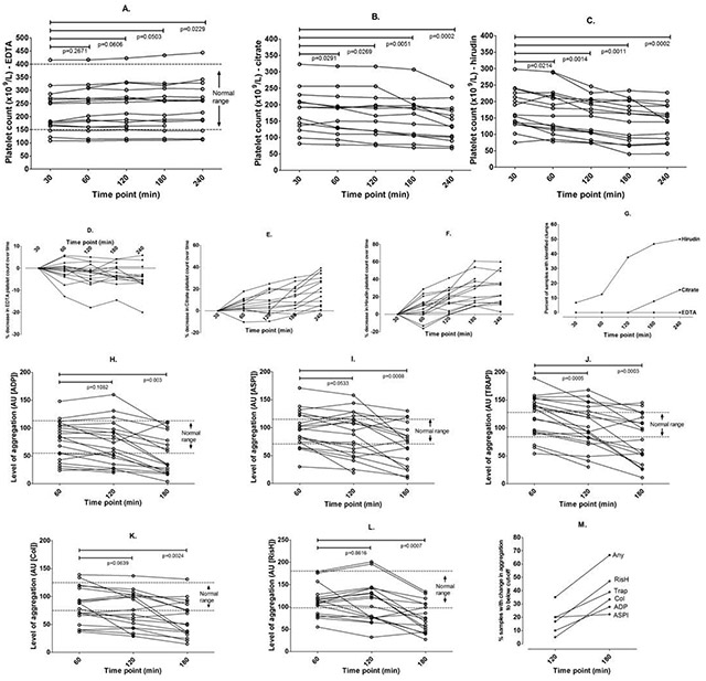
随时间变化的血小板计数见图1。有意思的是,EDTA血液显示血小板计数水平略有上升趋势,在采血后的240分钟时具有统计显著性(图1A)。但是随着时间发生的变化很轻微,随着时间的推移仅有<10%的变异。与之相反,柠檬酸和水蛭素血液的血小板计数水平随着时间的推移明显下降(图1B和图1C),这二者的计数百分比水平也明显下降(柠檬酸高达40%,水蛭素高达60%;相对于30分钟时的参考;图1E和图1F)。血液计数器也鉴别出随着时间的推移柠檬酸和水蛭素试管中出现血小板凝块,但EDTA试管中则没有出现凝块现象。实际上,多达50%的水蛭素样品在采血后的180分钟和240分钟时出现了血小板凝块,但是柠檬酸试管中出现血小板凝块的证据较少(图1G)。血液涂片验证了仪器图像鉴别的血小板凝块,典型为血小板微团聚体。
使用水蛭素血液时,多平台分析测得的凝集水平会随着时间下降(图1H-L)。所有激动剂都会导致这种下降,在采血后180分钟时,这种变化尤为明显。数据见表1。在采血后120分钟时,微孔板凝集的5%—20%的结果会出现“临床显著”变化(定义见“方法”),在240分钟时,20%—45%的检测结果会出现“临床显著”变化,变化的幅度取决于使用哪种激动剂(图1M)。无论使用何种激动剂,120分钟时,35%的结果、240分钟时67%的结果都会至少出现一次“临床显著”变化。
讨 论
多平台分析仪是使用全血测量血小板功能的常见设备。实际上,PubMed的“多平台”研究显示在过去的十年中,使用多平台分析仪进行此类研究,发表的研究数量正在显著增加,2015—2017年就有超过50项研究发表。我们没有发现任何讨论多平台分析、采血相关血小板凝块或微团聚体形成(与血小板激动剂驱动的血小板凝集不同)的研究。但是,在多平台分析范围之外,至少有一项研究讨论了水蛭素试管内血小板微团聚体形成的问题,但是尚不完全清楚其时变性。本文中我们进行了更多的时间点采样(每4小时)(可能与水蛭素的抗凝效果更加相关)。但是数据显示大部分献血者的样品中都形成了一些微团聚体,微团聚体在采血后的4小时开始出现,并在2小时内数量持续增加,这部分取决于水蛭素的浓度。但是据我们所知,多平台分析仪相关文献、多平台分析仪用户并不完全了解这一现象,多平台分析仪/水蛭素试管制造商/提供商也没有提供相关信息。
在我们的研究中,通过后续对一些样品进行薄膜扩散分析我们确认水蛭素确实导致了血小板凝集(或“凝块”,由自动化计数器得出)的形成(50%的样品会在采血后180分钟和240分钟形成凝集;图1G)。这与随着时间推移血小板凝集的明显减少有关,所有激动剂都是如此。值得注意的是,在采血后的120分钟5%—20%的结果会出现“临床显著”变化,采血后180分钟,20%—45%的结果会发生“临床显著”变化,这种变化取决于激动剂(图1M);对所有激动剂而言,采血后120分钟时,35%的结果会发生变化;采血后180分钟时,67%的结果会发生变化。由于激动剂的不同,最终结果的实验室或临床解析对血小板功能异常方面的解读可能出现不准确的结论。
有意思的是,我们在进行文献回顾时,在416条包括“多平台”的项目中,仅有3项研究对多平台结果的时变性进行了处理。最近的一项研究在探讨了多平台分析的反应,该研究的参与者是9名健康志愿者和36名采血后1小时和3小时服用氯吡格雷和普拉格雷的患者。所有受试者中,与第一个小时的结果对比,三小时后与ADP相关的凝集水平下降(p<0.05),因此潜在影响数据解析/临床结果。
另一项研究侧重于对方法学的考虑,该研究也报告了变化的时变性,多平台反应水平在采血后60分钟、120分钟和180分钟(与采血后30分钟对比)统计上出现了显著下降。与之相反,第三项比较古老的研究报告了多平台凝集“在采血后的半小时到5小时之间不会发生显著变化”。
我们的研究存在明显的局限性。第一,样品数量相对较少(n=21)且存在多样性。但是我们感觉规模较大的研究不太可能发现与我们的调查结果相异的结果,即使这样还是应该执行额外的分析确认这些结果并进一步探索其意义。此外,应该利用较为清晰和更具针对性的患者群组和正常个体执行研究。
第二,我们利用多平台分析仪制造商建议的NRR测定“临床显著性”。基于本地既定NRR,随着时间的推移,“临床显著性”发生的变化可能不同。我们会根据最新的制造商指南反馈检测结果。已经有研究侧重于生成多平台分析仪的NRR。制造商建议的检测事件框架(0.5—3小时)是基于Kaiser等人的研究,他们建议的NRR典型基于对“53名健康献血者”的检验。一些工作者已经围绕NRR进行了额外研究并完成了报告。在一些情况下,报告的NRR的范围比制造商建议的范围广或低于制造商建议的范围。我们的数据表明使用较广的时间框架(例如30—180分钟)执行检测所得到的区间比使用较窄的时间框架(例如30—90分钟)所得的区间要广。一项报告推测:水蛭素试管内形成血小板微团聚体不是问题,作者认为柠檬酸钠能加强血小板分泌和微团聚体的形成。相反,水蛭素能通过直接抑制凝血酶防止血液凝结。使用本地NRR可能会改变之前获得的“临床显著性”范围,但是不会改变这些变化发生的事实。
最后,一项研究的报告称对于多平台分析而言,目前建议的30分钟等待时间可以被省略,采血后5分钟进行测量与采血后30分钟测量的凝集结果密切相关,尽管其凝集水平略低。
结论和建议
我们的研究是第一个报告在水蛭素血液内多平台凝集反应与微团聚体形成之间具有时变性的研究。因此,本研究丰富了多平台分析的分析前变量,如采血管的类型和大小、血小板计数、使用止血带/静脉状态的影响以及(避免)使用气动导管。
我们建议制造商应该告知多平台分析仪/水蛭素试管的用户注意水蛭素内血小板微团聚体形成的现象,该现象是一种时变性现象,能影响现有建议的0.5—3小时的检测窗口期内多平台分析的结果。我们建议在采血后2小时内执行使用水蛭素的血小板凝集研究,最好在30—90分钟这个时间段进行该研究。其实可以在更早的时间段(30分钟内)执行研究。有必要在报告的检测结果为“异常”时,通过自动计数器执行的血小板微团聚体形成评估,尤其是患者的结局具有临床意义时。实验室报告应该将血小板微团聚体形成作为异常检测结果的一个潜在来源。
编译:张凯
审校:方研
(摘自《Platelets》,版权归其所有,仅供内部参考)


图1. 图A-F:采集到EDTA(A、D)、柠檬酸(B、E)或水蛭素(C、F)抗凝剂内血液的血小板计数的时变性。图A-C显示的是随着时间变化的血小板计数(时间点:采血后30分钟、60分钟、120分钟、180分钟、240分钟)。图D-F显示的是使用30分钟时的结果作为参考,随着时间推移血小板计数下降的百分比。图G显示的是不同抗凝试管内随着时间推移样品出现的血小板凝块)或微团聚体。图F-H:采集到水蛭素(分别为ADP、ASPI、TRAP、胶原和瑞斯西丁素)内血液的血小板凝集的时变性(多平台任意单位,AU;@时间点60分钟、120分钟、180分钟)。还鉴别了制造商建议的NRR,以及120分钟 VS 60分钟、180分钟 VS60分钟(每种激动剂)的p值。图M显示的是出现“临床显著”变化样品的百分比;“临床显著”见“方法”内的定义——简单定义为对于每种激动剂以及“任意激动剂”在60分钟时位于建议NRR范围内后在120分钟和180分钟低于NRR的值。