质谱解析(五)
1. 烷烃
直链烷烃
(1)显示弱的分子离子峰。
(2)由一系列峰簇组成,峰簇之间差14个单位。(29、43、57、71、85、99…)
(3)各峰簇的顶端形成一平滑曲线,最高点在C3或C4。
(4)比M+.峰质量数低的下一个峰簇顶点是M-29。而有甲基分枝的烷烃将有M-15,这是直链烷烃不带有甲基分枝的烷烃相区别的重要标志。

支链烷烃
(1)分枝烷烃的分子离子峰强度较直链烷烃降低。
(2)各峰簇顶点不再形成一平滑曲线,因在分枝处易断裂,其离子强度增加。
(3)在分枝处的断裂,伴随有失去单个氢原子的倾向,产生较强的CnH2n离子。
(4)有M-15的峰。
环烷烃
(1)由于环的存在,分子离子峰的强度相对增加。
(2)常在环的支链处断开,给出CnH2n-1峰,也常伴随氢原子的失去,因此该CnH2n-2峰较强。(41、55、56、69…)
(3)环的碎化特征是失去C2H4(也可能失去C2H5)。

2. 烯烃
(1)由于双键的引入,分子离子峰增强。
(2)相差14的一簇峰,(41+14n)41、55、69、83…。
(3)断裂方式有β断裂;γ-H、六元环、麦氏重排。
(4)环烯烃及其衍生物发生RDA反应。

3.芳烃
(1)芳烃类化合物稳定,分子离子峰强。
(2)有烷基取代的,易収生Cα-Cβ键的裂解,生成的苄基离子往往是基峰。91+14 n-苄基苯系列。
(3)也有α断裂,有多甲基叏代时,较显著。
(4)四元环重排;有γ-H,麦氏重排;RDA裂解。
(5)特征峰:39、51、65、77、78、91、92、93


1.醇 (1)分子离子峰弱或不出现。 (2)Cα-Cβ键的裂解生成31+14n的含氧碎片离子峰。 伯醇:31+14n;仲醇:45+14n; 叔醇:59+14n (3)脱水:M-18的峰。 (4)似麦氏重排:失去烯、水;M-18-28的峰。 (5)小分子醇出现M-1的峰。 2.酚(或芳醇) (1)分子离子峰很强。苯酚的分子离子峰为基峰。 (2)M-1 峰。苯酚很弱,甲酚和苯甲醇的很强。 (3)酚、苄醇最主要的特征峰:M-28(-CO) 和 M-29 (-CHO) 3. 醚 脂肪醚 (1)分子离子峰弱。 (2)α-裂解及碳-碳σ键断裂,生成系列CnH2n+1O含氧碎片峰。(31、45、59…) (3)ί-裂解,生成一系列CnH2n+1碎片离子。(29、43、57、71…) 芳香醚 (1)分子离子峰较强。 (2)裂解方式与脂肪醚类似,可见77、65、39等苯的特征碎片离子峰。



硫醇不硫醚的质谱不相应的醇和醚的质谱类似,但硫醇和硫醚的分子离子峰比相应的醇和醚要强。 1. 硫醇 (1)分子离子峰较强。 (2)α断裂,产生强的CnH2n+1S+峰,出现含硫特征碎片离子峰。(47+14n;47、61、75、89…) (3)出现(M-34)(-SH2),(M-33)(-SH),33(HS+),34(H2S+)的峰。 2.硫醚 (1)硫醚的分子离子峰较相应的硫醇强。 (2)α断裂、碳-硫σ键裂解生成CnH2n+1S+系列含硫的碎片离子。
1.脂肪胺 (1)分子离子峰很弱;往往不出现。 (2)主要裂解方式为α断裂和经过四元环过渡态的氢重排。 (3)出现30、44、58、72…系列30+14n的含氮特征碎片离子峰。 2.芳胺 (1)分子离子峰很强,基峰。 (2)杂原子控制的α断裂。

脂肪族卤代烃的分子离子峰弱,芳香族卤代烃的分子离子峰强。分子离子峰的相对强度随F、Cl、Br、I的顺序依次增大。 (1)α断裂产生符合通式CnH2nX+的离子 (2)ί断裂,生成(M-X)+的离子 (3)含Cl、Br的直链卤化物易发生重排反应,形成符合CnH2nX+通式的离子 ①可见(M-X)+,(M-HX)+,X+,CnH2n,CnH2n+1系列峰。 ②19F 的存在由(M-19),(M-20)碎片离子峰来判断。 ③127I 的存在由(M-127),m/z 127等碎片离子峰来判断。 ④Cl、Br 原子的存在及数目由其同位素峰簇的相对强度来判断。


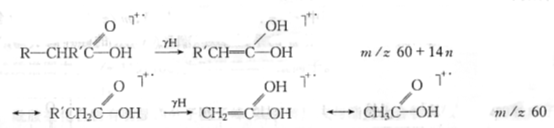
1. 醛 脂肪醛 (1)分子离子峰明显。 (2)α裂解生成(M-1)(-H.),(M-29)(-CHO)和强的m/z29(HCO+)的离子峰;同时伴随有m/z43、57、71…烃类的特征碎片峰。 (3)γ-氢重排,生成m/z44(44+14n)的峰。 芳醛 (1)分子离子峰很强。 (2)M-1峰很明显。 2. 酮 (1)酮类化合物分子离子峰较强。 (2)α 裂解(优先失去大基团)烷系列:29+14 n (3)γ-氢重排 酮的特征峰m/z 58 或58+14 n 3. 羧酸类 脂肪酸: 1)分子离子峰很弱。 2)α 裂解 出现(M-17) (OH),(M-45) (COOH),m/z 45 的峰及烃类系列碎片峰。 3)γ-氢重排羧酸特征离子峰m/z60 (60+14 n ) 4)含氧的碎片峰(45、59、73…) 芳酸: 1)分子离子峰较强。 2)邻位取代羧酸会有M-18(-H2O)峰。 4. 酯类化合物 1)分子离子纷纷较弱,但可以看到。 2)α 裂解,强峰(M-OR)的峰,判断酯的类型;(31+14 n )(M-R)的峰,29+14 n;59+14 n 3)麦氏重排,产生的峰:74+14 n 4)乙酯以上的酯可以发生双氢重排,生成的峰:61+14 n 5.酰胺类化合物 1)分子离子峰较强。 2)α 裂解;γ-氢重排 6. 氨基酸与氨基酸酯 小结: 羰基化合物中各类化合物的麦氏重排峰 醛、酮:58+14 n 酯:74+14 n 酸:60+14 n 酰胺:59+14 n







